GPM462C 导星相机

1 功能描述

GPM462C相机具有高效的红外波段光捕捉能力,其在500nm处具有非常高的QE值。此外它还具有高满阱、高动态、高灵敏度和低读出噪声等优势。这使得GPM462C在自动导星、日面摄影和月面摄影中都有着不俗的性能。

GPM462C的特点如下:
  • IMX462 彩色 CMOS 传感器
  • 分辨率: 1920 x 1080
  • 9微米方形像素
  • 1/2.8 英寸画幅
  • 12 位ADC
  • 带帧缓存
  • G 灵敏度: 2376mv,1/30s
  • 噪声:76 至 2.4e-
  • 8bit位宽时能达到18FPS
  • 最大信噪比:8 dB
  • 动态范围:1 dB

2 GPM462C 规格和性能

2.1 相机规格

表 1 GPM462C技术规格

传感器

索尼 IMX462彩色背照式传感器

对角长度

6.39 毫米

图像分辨率

210万像素(1920*1080)

像素大小

2.9微米 x 2.9微米

图像区域

5.57毫米 x 3.13毫米

固定分辨率下的最大帧率

12位

8位

8.9 帧/秒 @ 1920*1080

17.8 帧/秒 @ 1920*1080

快门类型

卷帘快门

曝光时间

0.1毫秒 – 1000秒

增益

1x – 500x

信噪比

40.8dB

动态范围

74.1 dB

读取噪声

2.4 – 0.76 e-

量化宽松峰值

>89%

满阱电荷

12.7ke-

ADC

12bit

帧缓存

内置

数据传输端口

USB2.0 Type C

相机接口

1.25英寸外径适配1.25英寸接口望远镜,标准C接口适配C接口工业镜头

保护窗口

红外截止滤光片/增透窗口

光谱响应范围

380-690nm (带红外截止玻璃)

相机控制开发工具包

Windows/Linux/macOS/Android等多平台SDK(Native C/C++、C#/VB.NET、Python、Java、DirectShow、Twain 等);

拍摄模式

静态捕获和视频模式

相机尺寸

直径 37 毫米 * 高度72.4毫米

相机重量

70克

后截距

后截距8.5毫米,搭配C接口达17.5毫米,搭配CS接口达12.5毫米

散热:

被动散热

支持的操作系统

Microsoft® Windows® XP,Vista,7,8,10(32位和64位)

macOS

Linux

2.2 索尼IMX462光谱响应曲线

GPM462C 的传感器G灵敏度为2376mv,1/30s。 其光谱灵敏度如图 1。灵敏度是使用标准测试镜头CM500S(t = 1.0mm)作为IR-CUT滤镜和F5.6焦距下的图像测量的。

GPM462C 图 1 IMX462光谱灵敏度特性

2.3 12位 ADC 和ROI

GPM462C 是原生12位 ADC。相机支持软件像素合并。相机还支持硬件ROI,ROI尺寸越小,帧率越高。

表 2 显示了GPM462C在不同分辨率下的12/8位模式、USB2.0 数据传输接口下的帧率;

表 2 GPM462C 在不同分辨率/位宽/数据传输接口(USB2.0)时的速率

位宽/帧率/分辨率

12bit ADC

8bit ADC

USB2.0

USB 2.0

1920*1080

8.9

17.8

2.4 帧缓存

GPM462C相机内置帧缓存,有助于保持数据传输的稳定性, 并有效减少由于图像数据暂时缓冲而引起的辉光现象,无需将数据匆忙发送到接收端。保证在多台相机同时工作的情况下,每台相机还能达到最大帧率。

2.5 像素合并

GPM462C 支持从 1 x 1 到 8 x 8 的数字像素合并(堆叠或平均方法)。

2.6 转换增益开关

GPM462C支持 HCG 、 LCG切换。

2.7 电源系统

相机通过USB 2.0接口获取供电。一旦使用USB 2.0数据线与主控系统建立连接,该相机即准备好进行工作。

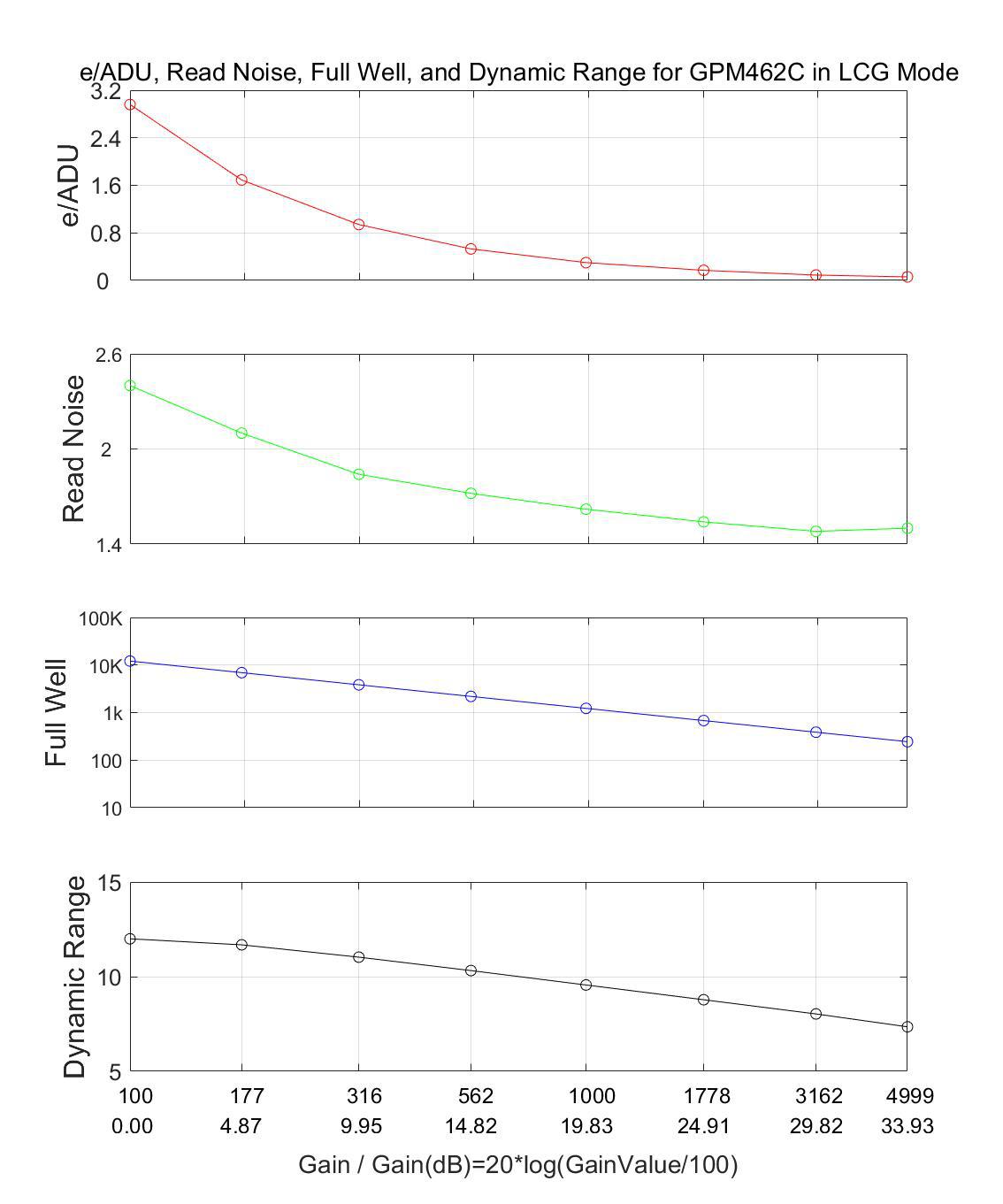
2.8 相机性能分析

相机性能可以通过e-/ADU、读取噪声、满阱电荷和动态范围进行评估。

e-/ADU:用于视觉应用的相机中的传感器具有将入射光子转换为电子的像素。CCD/CMOS相机上的增益即为电子(e-)到数字信号或模拟数字单元(ADU)的转换因子。增益表示转换为数字信号所需要的电子数,或每个ADU的电子数(e-/ADU)。

读取噪声:读取噪声是测量相机性能的最重要参考。较低的读取噪声通常意味着更好的信噪比和更好的图像质量。读取噪声 是在读出过程中在相机电子设备内产生的,因为电子经过模数转换、放大和处理步骤,从而能够产生图像。

满阱:电子被保留在每个像素中并转化为电荷,可以测量这些电荷以显示落在每个像素上的光量。可能的最大电荷称为“满阱电荷”。在噪声和A/D转换器质量等相同条件下,传感器的满阱容量越大,传感器的动态范围就越高。由于像素的深度存在限制,因此满阱电荷通常与像素聚光元件的正面面积成正比。

动态范围:是信号放大最小时,最大输出信号电平与本底噪声(本底噪声,即黑色图像中的RMS(均方根)噪声电平)之间的比率。相机的本底噪声包含传感器读出噪声、相机处理噪声和暗电流散粒噪声。动态范围表示相机显示/再现图像最亮和最暗部分的能力,以及两者之间的变化数量。从技术上讲,这是场景内动态范围。在一个图像中,可能有一部分是完全黑色的,另一部分是完全饱和的。

对于GPM系列相机,增益值处于xxx%模式。这里xxx用作描述相机性能的x轴(增益值)

读取噪声是衡量相机性能的最重要参考。较低的读取噪声通常意味着更好的SNR和更好的图像质量。

用于性能分析的相机设置参数如下所示:

  • 最大分辨率。
  • RAW 12位 ADC
  • LCG
图 2 显示了表3中相机分析数据的曲线表 3
GPM462C 图 2 GPM462C 的 e/ADU、读取噪声、满阱和动态范围

相机分析数据如表 3:

传感器分析数据

增益值

100

177

316

562

1000

1778

3162

4998

对数增益 (dB)

0.00

4.87

9.98

14.87

19.89

25.02

29.92

33.91

e-/ADU

2.96

1.69

0.94

0.53

0.30

0.17

0.09

0.06

读出噪声(e-)

2.4

2.10

1.84

1.72

1.62

1.54

1.48

1.50

满井电荷(ke-)

12.1

6.9

3.8

2.2

1.2

0.7

0.4

0.2

动态范围(stop)

12

11.68

11.03

10.32

9.56

8.78

8.03

7.35

表 3 相机分析数据
用于性能分析的相机设置参数如下所示:
  • 最大分辨率。
  • RAW 12位 ADC
  • HCG
图 3显示了 表 4 中相机分析数据的曲线表 3
GPM462C 图 3 GPM462C 的 e/ADU、读取噪声、满阱和动态范围

相机分析数据如表 4

传感器分析数据

增益值

100

177

316

562

1000

1778

3162

4998

对数增益 (dB)

0

4.84

9.91

14.75

19.83

24.88

29.81

33.95

e-/ADU

1.17

0.67

0.37

0.21

0.12

0.07

0.04

0.02

读出噪声(e-)

1.08

0.93

0.85

0.81

0.75

0.74

0.71

0.70

满井电荷(ke-)

4.8

2.8

1.5

0.9

0.5

0.3

0.2

0.1

动态范围(stop)

12

11.53

10.81

10.08

9.34

8.54

7.77

7.09

表 4 相机分析数据

3 产品包装和连接

3.1 包装内容列表

GPM462C 图4 GPM462C的包装信息

标准封装

A

外箱 长:50厘米 宽:30厘米 高:30厘米(20个,12~17公斤/箱,0.045立方米),照片中未显示

B

包装纸盒:长15厘米,宽15厘米,高10厘米 (每个成品包装约总重0.8-1.0千克)

C

GPM系列相机配一个标准C接口

D

2米长USB3.0高速线缆A口公转C口公

F

1.25英寸延长筒

G

2米长ST4导星线缆

H

CS接圈

表 5 GPM462C 装箱单

3.2 Camera 尺寸及其支架

GPM462C 图5 GPM462C的尺寸和安装座

GPM系列的机身由坚固的合金制成,确保了相机结构结实、耐用。相机搭载了IR-CUT或AR增透保护玻璃来保护相机传感器并阻挡红外光并消除反射光。相机的内部没有移动部件。与其他工业相机解决方案相比,这阳做是的相机更加更加坚固耐用同时延长了相机的使用寿命。

表 6 GPM462C的尺寸和安装座

项目

规范

1

可直接塞进1.25英寸目视口径的望远镜

2

GPM搭配1.25英寸延长筒,可直接塞进1.25英寸目视口径的望远镜

3

标准C接圈可直接适配工业C接口镜头

3.3 相机轮廓和界面

GPM462C 图6 相机轮廓和 接口

项目

规范

1

内嵌ST4自动导星接口能直连赤道仪ST4导星接口

2

USB2.0 接口Type C口

表 7 相机外形和接口列表

同类型相机

GPM462M

GPM462M

GPCMOS02000KMA

GPCMOS02000KMA

GPCMOS02000KPA

GPCMOS02000KPA

GPCMOS01200KPF

GPCMOS01200KPF